The photos you provided may be used to improve Bing image processing services.
Privacy Policy
|
Terms of Use
Can't use this link. Check that your link starts with 'http://' or 'https://' to try again.
Unable to process this search. Please try a different image or keywords.
Try Visual Search
Search, identify objects and text, translate, or solve problems using an image
Drag one or more images here,
upload an image
or
open camera
Drop images here to start your search
To use Visual Search, enable the camera in this browser
All
Search
Images
Inspiration
Create
Collections
Videos
Maps
News
More
Shopping
Flights
Travel
Notebook
Top suggestions for ABM Time Step Simulation
Simulation Time
Time Step
Simulation Time Step
250Ns
Time Step
Size
Step by Step
Flow Simulation
Single
Step Simulation
Time Step
Formula
Time Step
Size CFD
Real-
Time Simulation
Step Time
Circuit
Time Step
Definition
Time Step
Selection
Time Step
Equation
Reciprocal of
Time Step Size
Time Step
Standard
Time Step
Hrtp
Time Chart Simulation
Online
Time Step
Simscale
Time Step
Example Coding
Time Step
Features
Step Time
Parameters
Long
Time Simulation
Simulation
Over Time
Simulation Time
Symbol
What Is
Time Step
Prime
Time Simulation
What Is Step Time
in Physics
Exexution
Time Simulation
Simulation Time Step
Meaning
What Is a Structural
Time Step Table
Saber Step
by Step Simulation
Time and Step Time
Diff
D8 Steps Time
by Time
Change the Time Step
in Petrel Simulation
Time
Driven Simulation
Steps
N Simulation
Time Step
in Circuit Lab
Computational
Simulation Steps
Time Step
Chronology Flow
Time Step
Too Small LTspice
Courant Time Step
Limit
Time Steps
Graph
Representation of
Time in Simulation
ANSYS Time Step
Is Too Small
Time Step
Analysis for CFD
1 Day
Simulation Time
Thousands of Simulations
One at a Time
Fall Time Step
Function Over Time
Steps Simulation
Software
Time
Limiting Step
Explore more searches like ABM Time Step Simulation
Molecular
Dynamics
Study Flow
Chart
Process Flow
chart
Monte
Carlo
Block
Diagram
FlowChart
Study
Flowchart
Discrete
Study
MD
Word
File
Modelling
Design
Cycle
Study
Flowchar
Modeling
Based
Learning
Involved
Circuit
Screening Monitoring
Design Testing
People interested in ABM Time Step Simulation also searched for
Group
Logo
Logo
Design
Aviation
Logo
Property
Management
Strand
Background
Research
Example
Poster-Making
Funnel
Diagram
Marketing
Plan
Inc.
Logo
New
Logo
Facilities
Management
Imo
State
Clip
Art
SDS
Logo
Marketing
Logo
Accounting Business
Management Logo
Vector
Logo
Parking
Logo
North
Carolina
Building Value
Logo
Mapua SHS
Logo
Account Based Marketing
Agency
Current
Source
Aesthetic
Logo
Jobs
List
Track
Pics
Student
ClipArt
Logo Clip
Art
Financial
Statement
Every
Business
Background
Design
Icon.png
Fight
Cloud
Process
Map
Company
Logo
All About
Money
Power
Supply
Senior High
School
Ball
Mill
School
Logo
Marketing
Strategy
Work Immersion
Portfolio
Poster
About
Engineer
Uniform
Security
Services
Intune
Diagram
Janitorial
Services
What Is
Important
Cleaning
Logo
Autoplay all GIFs
Change autoplay and other image settings here
Autoplay all GIFs
Flip the switch to turn them on
Autoplay GIFs
Image size
All
Small
Medium
Large
Extra large
At least... *
Customized Width
x
Customized Height
px
Please enter a number for Width and Height
Color
All
Color only
Black & white
Type
All
Photograph
Clipart
Line drawing
Animated GIF
Transparent
Layout
All
Square
Wide
Tall
People
All
Just faces
Head & shoulders
Date
All
Past 24 hours
Past week
Past month
Past year
License
All
All Creative Commons
Public domain
Free to share and use
Free to share and use commercially
Free to modify, share, and use
Free to modify, share, and use commercially
Learn more
Clear filters
SafeSearch:
Moderate
Strict
Moderate (default)
Off
Filter
Simulation Time
Time Step
Simulation Time Step
250Ns
Time Step
Size
Step by Step
Flow Simulation
Single
Step Simulation
Time Step
Formula
Time Step
Size CFD
Real-
Time Simulation
Step Time
Circuit
Time Step
Definition
Time Step
Selection
Time Step
Equation
Reciprocal of
Time Step Size
Time Step
Standard
Time Step
Hrtp
Time Chart Simulation
Online
Time Step
Simscale
Time Step
Example Coding
Time Step
Features
Step Time
Parameters
Long
Time Simulation
Simulation
Over Time
Simulation Time
Symbol
What Is
Time Step
Prime
Time Simulation
What Is Step Time
in Physics
Exexution
Time Simulation
Simulation Time Step
Meaning
What Is a Structural
Time Step Table
Saber Step
by Step Simulation
Time and Step Time
Diff
D8 Steps Time
by Time
Change the Time Step
in Petrel Simulation
Time
Driven Simulation
Steps
N Simulation
Time Step
in Circuit Lab
Computational
Simulation Steps
Time Step
Chronology Flow
Time Step
Too Small LTspice
Courant Time Step
Limit
Time Steps
Graph
Representation of
Time in Simulation
ANSYS Time Step
Is Too Small
Time Step
Analysis for CFD
1 Day
Simulation Time
Thousands of Simulations
One at a Time
Fall Time Step
Function Over Time
Steps Simulation
Software
Time
Limiting Step
1020×1864
abm-time.en.softonic.com
ABM Time for Android - Dow…
850×632
researchgate.net
Flow chart of simulation process for a single time step t of the ABM. | Downl…
850×741
researchgate.net
Forecasting elections with ABM simulation | Download Scientifi…
640×640
researchgate.net
The interface of ABM simulation. | Download Sci…
Related Products
Account Based Marketing Books
Anti-Ballistic Missile Systems
Marketing Books
472×360
researchgate.net
A snapshot of the ABM simulation. | Download Scien…
458×611
researchgate.net
Linking ABM Simulation wit…
850×835
researchgate.net
Analysis procedure of the ABM simulation. …
634×440
researchgate.net
Stages of the ABM simulation execution process. | Download …
850×424
researchgate.net
The interface of ABM simulation. | Download Scientific Diagram
850×1112
researchgate.net
The daily time-step of the chil…
702×260
researchgate.net
Architecture of the ABM Simulation System. | Download Scientific Diagram
2080×1168
nrich.io
A 5-Step ABM Workflow to Launch an ABM Pilot
2436×1375
nrich.io
A 5-Step ABM Workflow to Launch an ABM Pilot
Explore more searches like
ABM Time
Step Simulation
Molecular Dynamics
Study Flow Chart
Process Flow chart
Monte Carlo
Block Diagram
FlowChart
Study Flowchart
Discrete
Study
MD
Word File
Modelling
2445×1372
nrich.io
A 5-Step ABM Workflow to Launch an ABM Pilot
1886×974
nrich.io
A 5-Step ABM Workflow to Launch an ABM Pilot
850×584
researchgate.net
Interruption timeline visualization generated from …
850×179
researchgate.net
Factor Settings for ABM Simulation Experiments. | Download Scientific Diagram
850×429
researchgate.net
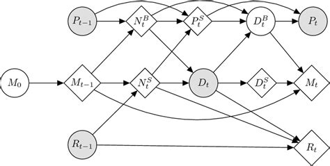
Graphical model diagram of the learnable ABM for a time step t. See... | Download Scientific Diagram
320×320
researchgate.net
Graphical model diagram of the learnable ABM f…
478×478
researchgate.net
Graphical model diagram of the learnable ABM f…
850×850
researchgate.net
Snapshot of a typical simulation run of the A…
527×527
researchgate.net
Graphical model diagram of the learnable ABM f…
850×920
researchgate.net
a) and b) Comparison between a simulation ti…
GIF
640×480
supplychaindataanalytics.com
ABM simulation framework Python - SCDA
850×423
researchgate.net
Different types of time steps Simulation time step. This is the native... | Download Scientific ...
800×800
shopee.ph
ABM Business Enterprise Simulation: Business Incu…
691×1215
researchgate.net
The proposed hybrid SD-AB…
850×747
researchgate.net
Progression of ABM simulation. See also time plo…
506×255
researchgate.net
The simulation time step effect on the calculation speed. | Download Table
850×311
researchgate.net
Parameters of the ABM simulation and their baseline values. | Download Scientific Diagram
People interested in
ABM
Time Step Simulation
also searched for
Group Logo
Logo Design
Aviation Logo
Property Management
Strand Background
Research Example
Poster-Making
Funnel Diagram
Marketing Plan
Inc. Logo
New Logo
Facilities Management
850×560
researchgate.net
Overview of ABM simulation procedure. (A) The target system, i.e. the... | Do…
685×492
researchgate.net
Schematic ABM simulation model in SIMION. Part of the structure is c…
GIF
1920×1080
growthoperationsfirm.com
Automation Tools for Each Step of Your ABM Strategy
850×615
ResearchGate
of ABM processes that are run at each half-day time step | Downlo…
320×320
ResearchGate
of ABM processes that are run at each half-day time s…
Some results have been hidden because they may be inaccessible to you.
Show inaccessible results
Report an inappropriate content
Please select one of the options below.
Not Relevant
Offensive
Adult
Child Sexual Abuse
Feedback