The photos you provided may be used to improve Bing image processing services.
Privacy Policy
|
Terms of Use
Can't use this link. Check that your link starts with 'http://' or 'https://' to try again.
Unable to process this search. Please try a different image or keywords.
Try Visual Search
Search, identify objects and text, translate, or solve problems using an image
Drag one or more images here,
upload an image
or
open camera
Drop images here to start your search
To use Visual Search, enable the camera in this browser
All
Search
Images
Inspiration
Create
Collections
Videos
Maps
News
More
Shopping
Flights
Travel
Notebook
Top suggestions for Class 11 Math Chapter 1
Class 11 Maths
NCERT
Class 11 Maths
Book
Maths Solution
Class 11
Ncert Maths
Textbook Class 6
Class 11 Maths Chapter
List
NCERT Class 11
Biology Book
Class 11 Maths
NCERT Solutions
Class 11 Maths Chapter 1
Symbol Name List
Class 10 Maths
NCERT
Class
7 Maths
Sets
Class 11
11 Class Maths
Notes
Class 10 Maths Chapter
2
NCERT Mathematics
Class 11
Class 11 Maths
Ch. 1
11th Maths
NCERT
Class 11 Maths
All Chapter List
Class 5 Maths
NCERT
Maths Class
9
Class 11 Maths
All Chapters
Class 11 Math
Question
Class
Six Math
Class 11 Maths
Activity Book
CBSE
Class 11 Maths Chapter 1
Class 11 Maths
NCERT Contents
Class 11 Maths
Activity File
Class 11 Maths
Together Used
Class 11 Maths
Book Index
Class 11 Maths
Exemplar
Class 11 Maths
NCERT PDF
Most Hard Chapter in
Maths Class 11
Class 11 Maths Chapter 1
Short Notes
Practice Paper for
Class 11 Maths Chapter 1
Worksheet for
Class 11 Chapter 1 Math
Class 11 Applied
Maths Chapter 1
Questions Important
Class 11 Maths
Class 11 Maths
Content
Maths Class 11
Ch3 Summary
Core Maths
Book Class 11
Class 11 Semester 1
Chaya Chapter 1 Math Solution
Complete Formula Sheet for
Class 11 Maths Chapter 1
Class 11 Maths Chapter 1
Worksheet with Answers
Maths Grade 11
Unit 2
Easiest Chapters in
Maths Class 11
Class 10 Maths
Formulas
Class 11 Math Chapter 1
Activity On A3 Size Paper
1st Chap of
Class 11 Math
Hardest Chapter in
Math Class 11
Long and Short Questins of
Maths Class 11 Chapter 1
Class 11 Maths
NCERT Blueprint
Refine your search for Class 11 Math Chapter 1
Symbol Name
List
Mind
Map
Practice
Questions
NCERT
Solutions
Handwritten
Notes
Important
Questions
Test
Paper
Book
Notes
SSC
NCERT
PDF
Sets Detailed
Notes PDF
Worksheet
Malayalam
Explanation
Sloved
Examples
Extra
Questions
Toppr Formula
Sheet PDF
Important
Notes
Signs
Solved
Examples
Name
Miscellaneous
Exercise
Explore more searches like Class 11 Math Chapter 1
Activity
Book
Trigonometry
Formula
Chapter
3
Chapter
6
Trigonometric Functions
Identities
Logic
Topper
SSC
Syllabus
Project
File
Statistics
Formulas
New
Syllabus
Activity
3
What Is
Function
Sequence
Series
Logic
Adder
Rd
Sharma
Binomial
Theorem
CBSE
Syllabus
Complex
Numbers
Project Report
Cover Page
Book
PDF
Index
Index
Page
CBSE
Pyq
JKBOSE
NCERT
Textbook
Sample
Paper
NCERT
Exemplar
CH2
NCERT
Contents
Chapters
List
Cengage
Ch.
1
Conic
Sections
Ch.
1-3
People interested in Class 11 Math Chapter 1 also searched for
Basic
Identities
CBSE
NCERT
Book Cover
Page
Content
NCERT Chapter
List
Guide
NCERT
Example
Exam
Chapters
Chapter
10
Lessons
Marvel
Book
Ch. 9
Formulas
Toppr
All
Formulas
Autoplay all GIFs
Change autoplay and other image settings here
Autoplay all GIFs
Flip the switch to turn them on
Autoplay GIFs
Image size
All
Small
Medium
Large
Extra large
At least... *
Customized Width
x
Customized Height
px
Please enter a number for Width and Height
Color
All
Color only
Black & white
Type
All
Photograph
Clipart
Line drawing
Animated GIF
Transparent
Layout
All
Square
Wide
Tall
People
All
Just faces
Head & shoulders
Date
All
Past 24 hours
Past week
Past month
Past year
License
All
All Creative Commons
Public domain
Free to share and use
Free to share and use commercially
Free to modify, share, and use
Free to modify, share, and use commercially
Learn more
Clear filters
SafeSearch:
Moderate
Strict
Moderate (default)
Off
Filter
Class 11 Maths
NCERT
Class 11 Maths
Book
Maths Solution
Class 11
Ncert Maths
Textbook Class 6
Class 11 Maths Chapter
List
NCERT Class 11
Biology Book
Class 11 Maths
NCERT Solutions
Class 11 Maths Chapter 1
Symbol Name List
Class 10 Maths
NCERT
Class
7 Maths
Sets
Class 11
11 Class Maths
Notes
Class 10 Maths Chapter
2
NCERT Mathematics
Class 11
Class 11 Maths
Ch. 1
11th Maths
NCERT
Class 11 Maths
All Chapter List
Class 5 Maths
NCERT
Maths Class
9
Class 11 Maths
All Chapters
Class 11 Math
Question
Class
Six Math
Class 11 Maths
Activity Book
CBSE
Class 11 Maths Chapter 1
Class 11 Maths
NCERT Contents
Class 11 Maths
Activity File
Class 11 Maths
Together Used
Class 11 Maths
Book Index
Class 11 Maths
Exemplar
Class 11 Maths
NCERT PDF
Most Hard Chapter in
Maths Class 11
Class 11 Maths Chapter 1
Short Notes
Practice Paper for
Class 11 Maths Chapter 1
Worksheet for
Class 11 Chapter 1 Math
Class 11 Applied
Maths Chapter 1
Questions Important
Class 11 Maths
Class 11 Maths
Content
Maths Class 11
Ch3 Summary
Core Maths
Book Class 11
Class 11 Semester 1
Chaya Chapter 1 Math Solution
Complete Formula Sheet for
Class 11 Maths Chapter 1
Class 11 Maths Chapter 1
Worksheet with Answers
Maths Grade 11
Unit 2
Easiest Chapters in
Maths Class 11
Class 10 Maths
Formulas
Class 11 Math Chapter 1
Activity On A3 Size Paper
1st Chap of
Class 11 Math
Hardest Chapter in
Math Class 11
Long and Short Questins of
Maths Class 11 Chapter 1
Class 11 Maths
NCERT Blueprint
768×1024
scribd.com
Class 11 Math Chapter 1._pdf.urlgd.com | PDF
1700×2200
byjus.com
RD Sharma Solutions for Class 11 Chapter 1 - Sets E…
Related Searches
Class 11
Maths
Chapter 1
Symbol
Name
List
Mind
Map
of
Class 11
Maths
Chapter 1
Class 11
Maths
Chapter 1
Practice
Questions
Maths
Chapter 1 Class 11
NCERT
Solutions
800×1236
mathongo.com
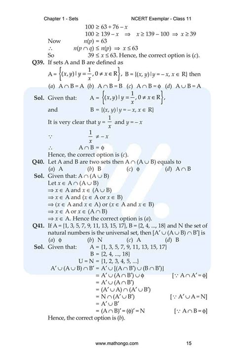
NCERT Exemplar for Class 11 Maths Chapter 1 – MathonGo
800×1236
mathongo.com
NCERT Exemplar for Class 11 Maths Chapter 1 – MathonGo
686×1024
mathongo.com
NCERT Solutions for Class 11 Maths Chapter 11 - Conic S…
686×1024
mathongo.com
NCERT Solutions for Class 11 Maths Chapter 1 Exercise 1.…
1240×1754
studypool.com
SOLUTION: Math class 11 chapter 1 - Studypool
1700×2200
byjus.com
NCERT Solutions for Class 11 Maths Chapter 1 Sets Ex 1.6
800×1236
mathongo.com
NCERT Exemplar for Class 11 Maths Chapter 1 – MathonGo
800×1236
mathongo.com
NCERT Exemplar for Class 11 Maths Chapter 1 – MathonGo
800×1236
mathongo.com
NCERT Exemplar for Class 11 Maths Chapter 1 – MathonGo
686×1024
mathongo.com
NCERT Solutions for Class 11 Maths Chapter 1 Exercise 1.…
768×1020
mathongo.com
NCERT Solutions for Class 11 Maths Chapter 1 Exercise 1.…
1286×1820
cuemath.com
NCERT Solutions for Class 11 Maths Chapter 1 Sets | Acc…
1200×630
mhbeducator.com
Math Class 11 Chapter 1 Important Questions
768×1024
scribd.com
Class 11 Chapter 1 Maths Important Formulas | PDF
663×1024
mathongo.com
NCERT Exemplar for Class 11 Maths Chapter 1 – MathonGo
800×1236
mathongo.com
NCERT Exemplar for Class 11 Maths Chapter 1 – MathonGo
800×1236
mathongo.com
NCERT Exemplar for Class 11 Maths Chapter 1 – MathonGo
1080×1350
studyupindia.com
NCERT Class 11 Math [ English Medium ] - StudyUpI…
771×1024
mathongo.com
NCERT Solutions for Class 11 Maths Chapter 1 Exercise 1.…
1620×2291
studypool.com
SOLUTION: Maths class 11th chapter 1 - Studypool
1280×720
mhbeducator.com
Class 11 Math Chapter 2 Important Questions
1224×1584
padhobook.in
Class 11 maths chapter 1
768×1187
mathongo.com
NCERT Exemplar for Class 11 Maths Chapter 1 – MathonGo
800×1236
mathongo.com
NCERT Exemplar for Class 11 Maths Chapter 1 – MathonGo
800×1236
mathongo.com
NCERT Exemplar for Class 11 Maths Chapter 1 – MathonGo
768×1187
mathongo.com
NCERT Exemplar for Class 11 Maths Chapter 1 – MathonGo
771×1024
mathongo.com
NCERT Solutions for Class 11 Maths Chapter 1 Exercise 1.…
Related Searches
Basic
Identities
Class 11
Maths
Class 11
Maths
CBSE
NCERT
Maths
Class 11
Book
Cover
Page
Class 11
Maths
Content
958×1355
schools.aglasem.com
NCERT Solutions for Class 11 Maths Chapter 1 Sets | Que…
1700×2200
byjus.com
NCERT Exemplar Solutions for Class 11 Maths Chapter …
800×1236
mathongo.com
NCERT Exemplar for Class 11 Maths Chapter 1 – MathonGo
800×1236
mathongo.com
NCERT Exemplar for Class 11 Maths Chapter 1 – MathonGo
Related Searches
Class 11
Maths
Activity
Book
Class 11
Maths
Trigonometry
Formula
Maths
Class 11 Chapter
3
Maths
Class 11 Chapter
6
771×1024
mathongo.com
NCERT Solutions for Class 11 Maths Chapter 1 Exercise 1.…
1620×2291
studypool.com
SOLUTION: Maths class 11th chapter 1 - Studypool
Some results have been hidden because they may be inaccessible to you.
Show inaccessible results
Report an inappropriate content
Please select one of the options below.
Not Relevant
Offensive
Adult
Child Sexual Abuse
Feedback