The photos you provided may be used to improve Bing image processing services.
Privacy Policy
|
Terms of Use
Can't use this link. Check that your link starts with 'http://' or 'https://' to try again.
Unable to process this search. Please try a different image or keywords.
Try Visual Search
Search, identify objects and text, translate, or solve problems using an image
Drag one or more images here,
upload an image
or
open camera
Drop images here to start your search
To use Visual Search, enable the camera in this browser
All
Search
Images
Inspiration
Create
Collections
Videos
Maps
News
More
Shopping
Flights
Travel
Notebook
Top suggestions for Fast Inverse Square Root Explained
Quake
Fast Inverse Square Root
Inverse Square Root
Graph
Inverse Square Root
Function
Inverse Square Root
Relationship
Quake 3
Fast Inverse Square Root
Fast Square Root
Algorithm
John Carmack
Fast Inverse Square Root
Doom
Fast Square Root
Quake 2
Fast Inverse Square Root
Reverse
Square Root
Quick
Inverse Square Root
Inverse Square Root
Code
Fast Approximate
Inverse Square Root
Newton-Raphson
Inverse Square Root
How to
Inverse Square Root
Inverse Square Root
Curve
Fast Inverse Square Root
Meme
What Is an
Inverse Square Root
Inverse Square Root
Scheduler
Inverse Square Root
Python
Inverse Square Root
Trend
Inverse Square
Law Power
Inverse
Sqare Root
Fast Inverse Square
Comment in Quake 3
Fast Inverse Square Root
Method
Inverse Square Root
of a Vector
Plot
Inverse Square Root
Inverse Square
Law Equation
Turn Fast Inverse Square Root
into Square Root
Inverse Square Root
Line Graph
Carmak Fast Inverse
Squared Root
Inverse Square
Law Examples
Inverse Square
Law in X-ray
Sqrt
Inverse
Fast Invese Square Root
Comment
What Does the
Fast Inverse Square Root Achieve
Inverse Square Root
Pattern
Algorithm for
Square Root
Inverse of Square Root
Calculator
Fast Inverse Square Root
Combination of Bit Operations
Inverse Square
Law Equation Biology
What's a
Inverse Square Root
Inverse Square Square Root
INR
How to Estimate the
Square Root Fast
Inverse Square Root
C
Inverse Square
Law Equation GCSE
How to Write the
Inverse Square Root On Word
Fast Invese Square Root
Comment Original
Fast Sqr Root
Algotrithm Quake
Inverse Square Root
of a Binomial Approximation
Explore more searches like Fast Inverse Square Root Explained
Big
Graph
Quake
III
Function
Plot
C++
Algorithm
GitHub
Code
Explained
Quake
Quick
Quake III Gameplay
Without
People interested in Fast Inverse Square Root Explained also searched for
Function
Graph
Learning Rate
Schedule
Line
Graph
Learning
Rate
How
Find
Learning Rate
Decay
Quake
2
Binomial
Approximation
Graph
Equation
Autoplay all GIFs
Change autoplay and other image settings here
Autoplay all GIFs
Flip the switch to turn them on
Autoplay GIFs
Image size
All
Small
Medium
Large
Extra large
At least... *
Customized Width
x
Customized Height
px
Please enter a number for Width and Height
Color
All
Color only
Black & white
Type
All
Photograph
Clipart
Line drawing
Animated GIF
Transparent
Layout
All
Square
Wide
Tall
People
All
Just faces
Head & shoulders
Date
All
Past 24 hours
Past week
Past month
Past year
License
All
All Creative Commons
Public domain
Free to share and use
Free to share and use commercially
Free to modify, share, and use
Free to modify, share, and use commercially
Learn more
Clear filters
SafeSearch:
Moderate
Strict
Moderate (default)
Off
Filter
Quake
Fast Inverse Square Root
Inverse Square Root
Graph
Inverse Square Root
Function
Inverse Square Root
Relationship
Quake 3
Fast Inverse Square Root
Fast Square Root
Algorithm
John Carmack
Fast Inverse Square Root
Doom
Fast Square Root
Quake 2
Fast Inverse Square Root
Reverse
Square Root
Quick
Inverse Square Root
Inverse Square Root
Code
Fast Approximate
Inverse Square Root
Newton-Raphson
Inverse Square Root
How to
Inverse Square Root
Inverse Square Root
Curve
Fast Inverse Square Root
Meme
What Is an
Inverse Square Root
Inverse Square Root
Scheduler
Inverse Square Root
Python
Inverse Square Root
Trend
Inverse Square
Law Power
Inverse
Sqare Root
Fast Inverse Square
Comment in Quake 3
Fast Inverse Square Root
Method
Inverse Square Root
of a Vector
Plot
Inverse Square Root
Inverse Square
Law Equation
Turn Fast Inverse Square Root
into Square Root
Inverse Square Root
Line Graph
Carmak Fast Inverse
Squared Root
Inverse Square
Law Examples
Inverse Square
Law in X-ray
Sqrt
Inverse
Fast Invese Square Root
Comment
What Does the
Fast Inverse Square Root Achieve
Inverse Square Root
Pattern
Algorithm for
Square Root
Inverse of Square Root
Calculator
Fast Inverse Square Root
Combination of Bit Operations
Inverse Square
Law Equation Biology
What's a
Inverse Square Root
Inverse Square Square Root
INR
How to Estimate the
Square Root Fast
Inverse Square Root
C
Inverse Square
Law Equation GCSE
How to Write the
Inverse Square Root On Word
Fast Invese Square Root
Comment Original
Fast Sqr Root
Algotrithm Quake
Inverse Square Root
of a Binomial Approximation
768×1024
scribd.com
Fast Inverse Square Root | …
768×1024
scribd.com
Fast Inverse Square Root | …
283×42
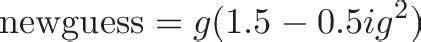
BetterExplained
Understanding Quake’s Fast Inverse Square Root – BetterExplained
477×82
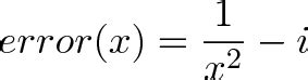
BetterExplained
Understanding Quake’s Fast Inverse Square Root – BetterExplained
Related Products
Mathematical Functions
Fast Inverse Square Root Al…
Inverse Square Law Formula
423×45
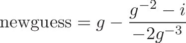
BetterExplained
Understanding Quake’s Fast Inverse Square Root – BetterExplained
280×42
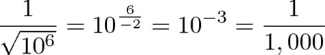
BetterExplained
Understanding Quake’s Fast Inverse Square Root – BetterExplained
350×87
BetterExplained
Understanding Quake’s Fast Inverse Square Root – BetterExplained
374×88
BetterExplained
Understanding Quake’s Fast Inverse Square Root – BetterExplained
421×42
BetterExplained
Understanding Quake’s Fast Inverse Square Root – BetterExplained
394×87
BetterExplained
Understanding Quake’s Fast Inverse Square Root – BetterExplained
Explore more searches like
Fast Inverse Square Root
Explained
Big Graph
Quake III
Function Plot
C++
Algorithm GitHub
Code Explained
Quake Quick
Quake III Gameplay Wi
…
513×42
BetterExplained
Understanding Quake’s Fast Inverse Square Root – BetterExplained
392×41
BetterExplained
Understanding Quake’s Fast Inverse Square Root – BetterExplained
440×344
Wikipedia
Fast inverse square root - Wikipedia
283×74
BetterExplained
Understanding Quake’s Fast Inverse Square Root – BetterExp…
1200×600
github.com
GitHub - scienceetonnante/Fast-Inverse-Square-Root: Analyzing the fast inverse s…
1200×630
gistlib.com
gistlib - fast inverse square root in csharp
277×64
blog.timhutt.co.uk
Fast Inverse Square Root
2560×1321
yanksi.li
Fast Inverse Square Root Algorithm Explained - Yanksi's Blog
1037×205
yanksi.li
Fast Inverse Square Root Algorithm Explained - Yanksi's Blog
453×640
yumpu.com
Fast inverse square root
733×710
transtutors.com
(Solved) - Fast Inverse Square Root Is Used To …
539×520
retrocomputingforum.com
Everything I Know About The Fast Inverse Square Root …
2212×1340
retrocomputingforum.com
Everything I Know About The Fast Inverse Square Root Algorithm - Software - Retro Com…
1034×460
linkedin.com
Is Fast Inverse Square Root still Fast?
609×793
www.reddit.com
Quake's fast inverse square root algorit…
People interested in
Fast
Inverse Square Root
Explained
also searched for
Function Graph
Learning Rate Schedule
Line Graph
Learning Rate
How Find
Learning Rate Decay
Quake 2
Binomial Approximation
Graph Equation
744×744
chegg.com
Fast inverse square root is used to estimate the | Ch…
768×994
studylib.net
Fast Inverse Square Root: Math Behin…
768×250
jacob-robinson.com
Why the Fast Inverse Square Root Matters - Jacob Robinson
1920×1080
www.reddit.com
Fast Inverse Square Root - a classic : r/programmingbeauty
600×371
www.reddit.com
0x5f3759df » Fast inverse square root explained in detail : r/progra…
989×689
University of Waterloo
Inverse Square Root | Algorithms and Data Structures | University of Water…
477×123
www.reddit.com
fast inverse square root, according to github copilot : r/ProgrammerHumor
1200×600
www.reddit.com
The Fast Inverse Square Root Algorithm [Math, Optimization Tricks, Obsolete, No…
850×1202
researchgate.net
(PDF) A Modification of th…
850×1202
researchgate.net
(PDF) A Modification of th…
Some results have been hidden because they may be inaccessible to you.
Show inaccessible results
Top suggestions for
Fast Inverse Square Root
Explained
Quake Fast Inverse Squa
…
Inverse Square Root Graph
Inverse Square Root Function
Inverse Square Root Relatio
…
Quake 3 Fast Inverse Squa
…
Fast Square Root Algorithm
John Carmack Fast Inverse
…
Doom Fast Square Root
Quake 2 Fast Inverse Squa
…
Reverse Square Root
Quick Inverse Square Root
Inverse Square Root Code
Report an inappropriate content
Please select one of the options below.
Not Relevant
Offensive
Adult
Child Sexual Abuse
Feedback