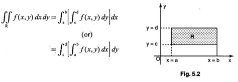
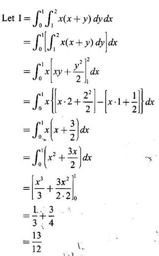
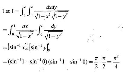
The photos you provided may be used to improve Bing image processing services.
Privacy Policy
|
Terms of Use
Can't use this link. Check that your link starts with 'http://' or 'https://' to try again.
Unable to process this search. Please try a different image or keywords.
Try Visual Search
Search, identify objects and text, translate, or solve problems using an image
Drag one or more images here,
upload an image
or
open camera
Drop images here to start your search
To use Visual Search, enable the camera in this browser
All
Search
Images
Inspiration
Create
Collections
Videos
Maps
News
More
Shopping
Flights
Travel
Notebook
Autoplay all GIFs
Change autoplay and other image settings here
Autoplay all GIFs
Flip the switch to turn them on
Autoplay GIFs
Image size
All
Small
Medium
Large
Extra large
At least... *
Customized Width
x
Customized Height
px
Please enter a number for Width and Height
Color
All
Color only
Black & white
Type
All
Photograph
Clipart
Line drawing
Animated GIF
Transparent
Layout
All
Square
Wide
Tall
People
All
Just faces
Head & shoulders
Date
All
Past 24 hours
Past week
Past month
Past year
License
All
All Creative Commons
Public domain
Free to share and use
Free to share and use commercially
Free to modify, share, and use
Free to modify, share, and use commercially
Learn more
Clear filters
SafeSearch:
Moderate
Strict
Moderate (default)
Off
Filter
1500×978
Stack Exchange
double integration changing variables and finding boundaries - Mathematic…
916×916
math.stackexchange.com
multivariable calculus - Double Integration wit…
1600×898
math-angel.io
Solving Equations with 2 Variables - Method, Example, Graph
800×1035
worksheetshq.com
Math Variables Worksheets
338×365
math.stackexchange.com
integration - Function two variables, integr…
500×500
math.stackexchange.com
integration - Doubts over this two variables integra…
554×126
Stack Exchange
calculus and analysis - Numerical integration of double integral with two variables ...
575×370
blogspot.com
VISUALIZING MATHS & PHYSICS : INTEGRATION EXPLAINED INTUTIVELY
1081×1600
whitegroupmaths.com
H2 Maths Tuition By White Grou…
800×400
graphicmaths.com
GraphicMaths - What is integration
1200×1450
studocu.com
Lecture 4 - double integration - MATH…
2000×2000
ar.inspiredpencil.com
Variables In Math
1440×1440
ar.inspiredpencil.com
Variables In Math
2000×2000
Stack Exchange
integration - Intuition on Double Integrals - Mat…
1280×720
eresources.blog
Variable of Integration: Master It Now! You'll Thank Us - Eresources.blog
640×480
classcentral.com
Free Video: Integration from YouTube | Class Central
316×180
revisionmaths.com
Integration - Mathematics A-Level Revision
960×1440
in.pinterest.com
Integration -Part 1 | Learning m…
960×540
slidetodoc.com
Lecture 6 Change of variables in multiple integrals
480×360
mathmadeeasy503.wordpress.com
Best Integration lesson everyone should know! – Math Blogs and Videos
318×315
apboardsolutions.com
Inter 2nd Year Maths 2B Integration Important Quest…
592×730
mech.poriyaan.in
Double Integration - Worked Examples, Exercise with Answers
352×561
mech.poriyaan.in
Double Integration - Worked Example…
441×317
mech.poriyaan.in
Double Integration - Worked Examples, Exercise with Answers
484×378
mech.poriyaan.in
Double Integration - Worked Examples, Exercise with Answers
352×514
mech.poriyaan.in
Double Integration - Worked Examples, …
321×518
mech.poriyaan.in
Double Integration - Worked Example…
524×499
mech.poriyaan.in
Double Integration - Worked Examples, …
408×246
mech.poriyaan.in
Double Integration - Worked Examples, Exercise with Answers
448×172
mech.poriyaan.in
Double Integration - Worked Examples, Exercise with Answers
502×988
mech.poriyaan.in
Double Integration - W…
647×225
mech.poriyaan.in
Double Integration - Worked Examples, Exercise with Answers
589×229
mech.poriyaan.in
Double Integration - Worked Examples, Exercise with Answers
324×313
apboardsolutions.guru
Inter 2nd Year Maths 2B Integration Important Questions – AP Board Solu…
506×365
apboardsolutions.in
Inter 2nd Year Maths 2B Integration Formulas – AP Board Solutions
Some results have been hidden because they may be inaccessible to you.
Show inaccessible results
Report an inappropriate content
Please select one of the options below.
Not Relevant
Offensive
Adult
Child Sexual Abuse
Feedback