The photos you provided may be used to improve Bing image processing services.
Privacy Policy
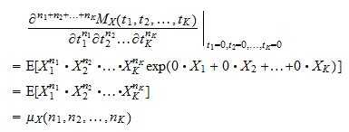
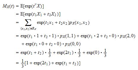
|
Terms of Use
Can't use this link. Check that your link starts with 'http://' or 'https://' to try again.
Unable to process this search. Please try a different image or keywords.
Try Visual Search
Search, identify objects and text, translate, or solve problems using an image
Drag one or more images here,
upload an image
or
open camera
Drop images here to start your search
To use Visual Search, enable the camera in this browser
All
Search
Images
Inspiration
Create
Collections
Videos
Maps
News
More
Shopping
Flights
Travel
Notebook
Autoplay all GIFs
Change autoplay and other image settings here
Autoplay all GIFs
Flip the switch to turn them on
Autoplay GIFs
Image size
All
Small
Medium
Large
Extra large
At least... *
Customized Width
x
Customized Height
px
Please enter a number for Width and Height
Color
All
Color only
Black & white
Type
All
Photograph
Clipart
Line drawing
Animated GIF
Transparent
Layout
All
Square
Wide
Tall
People
All
Just faces
Head & shoulders
Date
All
Past 24 hours
Past week
Past month
Past year
License
All
All Creative Commons
Public domain
Free to share and use
Free to share and use commercially
Free to modify, share, and use
Free to modify, share, and use commercially
Learn more
Clear filters
SafeSearch:
Moderate
Strict
Moderate (default)
Off
Filter
768×1024
scribd.com
Moment Generating Fu…
768×1024
scribd.com
Lec-9 - Joint Moments and …
1024×257
chegg.com
Solved The joint moment generating function for two random | Chegg.com
856×421
chegg.com
Solved The joint moment generating function of two | Chegg.com
1024×326
Chegg
Solved 11. The joint moment generating function of two | Chegg.com
1024×171
Chegg
Solved 11. The joint moment generating function of two | Chegg.com
1208×238
chegg.com
Solved Problem 12.2.11 The moment generating function for | Chegg.com
850×1109
researchgate.net
(PDF) Joint Moment-Generat…
735×711
chegg.com
Solved Calculate the joint moment generating functi…
550×344
statlect.com
Joint distribution function
395×78
statlect.com
Joint distribution function
1827×1080
chegg.com
Solved Calculate the joint moment generating function of the | Chegg.c…
1024×576
numerade.com
SOLVED:The joint moment generating function of two random variables X an…
506×241
statlect.com
Joint moment generating function
480×128
statlect.com
Joint moment generating function
466×138
statlect.com
Joint moment generating function
429×41
statlect.com
Joint moment generating function
436×65
statlect.com
Joint moment generating function
385×146
statlect.com
Joint moment generating function
425×316
statlect.com
Joint moment generating function
464×235
statlect.com
Joint moment generating function
633×700
chegg.com
Solved 1. If the joint moment generating fu…
1216×832
storyofmathematics.com
Moment Generating Function of Normal Distribution - An Easy Guide
3780×1965
storyofmathematics.com
Moment Generating Function of Normal Distribution - An Easy Guide
816×289
math.stackexchange.com
Statistics: Joint Moment Generating Function Question - Mathematics Stack Exchange
843×357
chegg.com
Solved Random variables J and K have the joint probability | Chegg.com
700×482
chegg.com
Solved Problem 1(d) The joint moment generating function o…
402×199
researchgate.net
Different joint distribution of two random variables by dependenc…
800×282
Physics Forums
Finding the joint moment generating function given the joint PDF • Physics Forums
800×176
Physics Forums
Finding the joint moment generating function given the joint PDF • Physics Forums
1024×768
slideserve.com
PPT - Joint Distribution of two or More Random Variables Powe…
1024×768
SlideServe
PPT - Joint Distribution of two or More Random Variables PowerPoint Present…
1024×768
SlideServe
PPT - Joint Distribution of two or More Random Variables Powe…
911×196
chegg.com
Solved 13. Joint moment generating function. For each of the | Chegg.com
1280×720
fity.club
Normal Distribution Moment Generating Function Youtube
Some results have been hidden because they may be inaccessible to you.
Show inaccessible results
Report an inappropriate content
Please select one of the options below.
Not Relevant
Offensive
Adult
Child Sexual Abuse
Feedback