The photos you provided may be used to improve Bing image processing services.
Privacy Policy
|
Terms of Use
Can't use this link. Check that your link starts with 'http://' or 'https://' to try again.
Unable to process this search. Please try a different image or keywords.
Try Visual Search
Search, identify objects and text, translate, or solve problems using an image
Drag one or more images here,
upload an image
or
open camera
Drop images here to start your search
To use Visual Search, enable the camera in this browser
All
Search
Images
Inspiration
Create
Collections
Videos
Maps
News
More
Shopping
Flights
Travel
Notebook
Autoplay all GIFs
Change autoplay and other image settings here
Autoplay all GIFs
Flip the switch to turn them on
Autoplay GIFs
Image size
All
Small
Medium
Large
Extra large
At least... *
Customized Width
x
Customized Height
px
Please enter a number for Width and Height
Color
All
Color only
Black & white
Type
All
Photograph
Clipart
Line drawing
Animated GIF
Transparent
Layout
All
Square
Wide
Tall
People
All
Just faces
Head & shoulders
Date
All
Past 24 hours
Past week
Past month
Past year
License
All
All Creative Commons
Public domain
Free to share and use
Free to share and use commercially
Free to modify, share, and use
Free to modify, share, and use commercially
Learn more
Clear filters
SafeSearch:
Moderate
Strict
Moderate (default)
Off
Filter
850×1203
researchgate.net
(PDF) Model predictive control st…
698×618
semanticscholar.org
Figure 1 from Model Predictive Voltage Control for Single-Inducto…
850×1100
researchgate.net
(PDF) Model Predictive Control Based Coordi…
595×842
academia.edu
(PDF) Coordinated Model Predictive D…
850×1202
researchgate.net
(PDF) Model Predictive Current …
595×842
Academia.edu
(PDF) Direct model predictive current c…
769×454
researchgate.net
Model Predictive Control Schematic. | Download Scientific Diagram
850×1203
researchgate.net
(PDF) Model predictive control f…
838×502
researchgate.net
(a) DC link voltage control using SRF technique. (b) Model of the DC... | Download Scientific ...
320×320
researchgate.net
(a) DC link voltage control using SRF technique. (b) M…
744×145
researchgate.net
DC-link voltage control | Download Scientific Diagram
850×355
researchgate.net
DC link voltage control [26]. | Download Scientific Diagram
453×151
researchgate.net
DC-link voltage control | Download Scientific Diagram
640×640
ResearchGate
Proposed predictive power control and dc li…
1303×827
matlabprojectscode.com
Model Predictive Control of Bidirectional DC_DC Converters and AC_DC Interli…
850×533
ResearchGate
Proposed predictive power control and dc link capacitor voltage... | Download Sci…
547×245
researchgate.net
DC-link voltage control result. | Download Scientific Diagram
850×1202
researchgate.net
(PDF) Continuous-Control-Set Mod…
850×1203
researchgate.net
(PDF) An Improved Model …
666×570
semanticscholar.org
Figure 2 from Model Predictive Control for a Full Bridge DC/D…
320×320
researchgate.net
Control of the dc link voltage | Download Scien…
850×1100
ResearchGate
(PDF) Model Predictive Control …
594×570
semanticscholar.org
Figure 10 from Model Predictive Control of LC-Fil…
698×438
semanticscholar.org
Figure 2 from Model-Free Predictive Current Control of a Voltage Source I…
523×264
researchgate.net
DC-link voltage control result. | Download Scientific Diagram
320×320
researchgate.net
A, Small signal model of closed‐loop DC‐lin…
850×462
researchgate.net
Dc-link voltage control algorithm. | Download Scientific Diagram
850×1154
ResearchGate
(PDF) Model-Free Predictive Curren…
850×1203
researchgate.net
(PDF) Model predictive contro…
393×393
researchgate.net
a) Simplified model of the DC-link voltage control an…
501×402
researchgate.net
Optimization of objective function Figure 17. DC link voltage control …
502×1436
semanticscholar.org
Figure 1 from Model Predicti…
588×588
researchgate.net
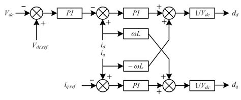
Block diagram of the DC-link voltage control scheme. | …
850×1156
researchgate.net
(PDF) Model Predictive Control …
850×1203
researchgate.net
(PDF) DC Link Voltage Control S…
Some results have been hidden because they may be inaccessible to you.
Show inaccessible results
Report an inappropriate content
Please select one of the options below.
Not Relevant
Offensive
Adult
Child Sexual Abuse
Feedback