The photos you provided may be used to improve Bing image processing services.
Privacy Policy
|
Terms of Use
Can't use this link. Check that your link starts with 'http://' or 'https://' to try again.
Unable to process this search. Please try a different image or keywords.
Try Visual Search
Search, identify objects and text, translate, or solve problems using an image
Drag one or more images here,
upload an image
or
open camera
Drop images here to start your search
To use Visual Search, enable the camera in this browser
All
Search
Images
Inspiration
Create
Collections
Videos
Maps
News
More
Shopping
Flights
Travel
Notebook
Top suggestions for Derivative of Unit Step Function
Derivative of Step Function
Integration
of Unit Step Function
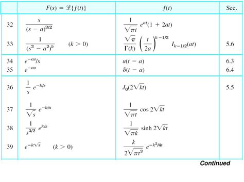
What Is
Unit Step Function
Unit Step Function
Grapher
Unit Step Function
Graph
Unit Step Function
Formula
Unit Step Function
U T
Derivative of Unit
Impulse Function
Shifted
Unit Step Function
Delta Function
Graph
Unit Step Function
Laplace Transform
Definition
of Unit Step Function
Heaviside
Unit Step Function
Unit Impulse and
Unit Step Functions
Draw
Unit Step Function
Unit Step Function
Matlab Code
Differentiation
of Unit Step Function
Deriving a
Unit Step Function
What Is the Integral
of Unit Step Function
Unit Step
Activation Function
Unit Step Function
Examples
Derivative of
Dirac Delta Function
Integrating
Unit Step Function
Unit
Ramp Function
What Is Unit Step Function
at 0
Unit Step Function
Slide Player
Transient
Unit Step Function
Unit Step Function
Meaning
Unit Step Function
Properties
Unit Step
Signal
Unit Step Function
Practice
Step Function
Equation
Unit Step Response of
Transfer Function
Unit Step Function
Signals and Systems
Unit Step Function
Reflected
Make a Triangle with
Unit Step Function
Unit Step Function
Graph Calculator
FFT
of Step Function
Unit Step Function
Notations
Step Function
Question
Single Line in
Unit Step Function
Spectrum
of Step Function
Unit Step Function
Def
Integraring
Step Unit Function
Unit Step Function
Sigma
Unit Step Function
Value at 0
Solving
Unit Step Function
Negative
Unit Step Function
Graphing
Derivative of Step Function
Unit Step Function
Differential Equations
Explore more searches like Derivative of Unit Step Function
Matlab
Code
Laplace
Transform
Laplace Transform
Table
Single
Line
Fourier Transform
Graph
Fourier
Transform
Differential
Equations
Discrete-Time
What Is
Integral
Signal
Processing
How
Find
What Is
Negative
Continuous-Time
Signal
Block
Diagram
Derivative
Table
Make
Triangle
What Is
Derivative
Inverse Laplace
Transform
Alternate
Forms
Transform
Table
Fourier
Series
Steady
State
Find Laplace
Transform
Continuous
Time Graph
Convert Graph
Into
Writing
Plot
IFT
Reputive
Notes
Circuits
Trick
For
Transform
Definition
Phase
Shift
FFT
People interested in Derivative of Unit Step Function also searched for
Inverse Fourier
Transform
Graph
Differentiation
Integrating
Domain
General
Form
Comaamnd
Example
PPT
Numéricas
Inverse
Tranfoem
Notations
For Piecewise
Trig
Graph
Discrete
People interested in Derivative of Unit Step Function also searched for
Dirac Delta
Function
Sign
Function
Rectangular
Function
Ramp
Function
Distribution
Exponential
Function
Hyperbolic
Function
Generalized
Function
Sinc
Function
Sigmoid
Function
Inverse Trigonometric
Functions
Oliver
Heaviside
Trigonometric
Functions
Kronecker
Delta
Autoplay all GIFs
Change autoplay and other image settings here
Autoplay all GIFs
Flip the switch to turn them on
Autoplay GIFs
Image size
All
Small
Medium
Large
Extra large
At least... *
Customized Width
x
Customized Height
px
Please enter a number for Width and Height
Color
All
Color only
Black & white
Type
All
Photograph
Clipart
Line drawing
Animated GIF
Transparent
Layout
All
Square
Wide
Tall
People
All
Just faces
Head & shoulders
Date
All
Past 24 hours
Past week
Past month
Past year
License
All
All Creative Commons
Public domain
Free to share and use
Free to share and use commercially
Free to modify, share, and use
Free to modify, share, and use commercially
Learn more
Clear filters
SafeSearch:
Moderate
Strict
Moderate (default)
Off
Filter
Derivative of Step Function
Integration
of Unit Step Function
What Is
Unit Step Function
Unit Step Function
Grapher
Unit Step Function
Graph
Unit Step Function
Formula
Unit Step Function
U T
Derivative of Unit
Impulse Function
Shifted
Unit Step Function
Delta Function
Graph
Unit Step Function
Laplace Transform
Definition
of Unit Step Function
Heaviside
Unit Step Function
Unit Impulse and
Unit Step Functions
Draw
Unit Step Function
Unit Step Function
Matlab Code
Differentiation
of Unit Step Function
Deriving a
Unit Step Function
What Is the Integral
of Unit Step Function
Unit Step
Activation Function
Unit Step Function
Examples
Derivative of
Dirac Delta Function
Integrating
Unit Step Function
Unit
Ramp Function
What Is Unit Step Function
at 0
Unit Step Function
Slide Player
Transient
Unit Step Function
Unit Step Function
Meaning
Unit Step Function
Properties
Unit Step
Signal
Unit Step Function
Practice
Step Function
Equation
Unit Step Response of
Transfer Function
Unit Step Function
Signals and Systems
Unit Step Function
Reflected
Make a Triangle with
Unit Step Function
Unit Step Function
Graph Calculator
FFT
of Step Function
Unit Step Function
Notations
Step Function
Question
Single Line in
Unit Step Function
Spectrum
of Step Function
Unit Step Function
Def
Integraring
Step Unit Function
Unit Step Function
Sigma
Unit Step Function
Value at 0
Solving
Unit Step Function
Negative
Unit Step Function
Graphing
Derivative of Step Function
Unit Step Function
Differential Equations
768×1024
scribd.com
1 Unit Step Function U (T) | PDF | Laplace …
768×1024
scribd.com
Unit Step Function Explained | PDF | Fu…
768×1024
scribd.com
Unit Step Function PDF | PDF
768×1024
scribd.com
Unit Step Function | PDF | Function (Mat…
Related Products
Calculus Textbook
Mathematical Analysis Book
Integral Calculus Workbook
768×1024
scribd.com
Unit Step Functions | PDF | Summation | …
3196×2062
Ohio
8.4 The Unit Step Function - Ximera
3196×2062
Ohio
8.4 The Unit Step Function - Ximera
341×242
www.reddit.com
Derivative of Unit Step Function : r/ElectricalEngineering
768×1024
scribd.com
Unit Step Function | PDF
510×809
researchgate.net
1: a) Simple differentiable s…
1080×1872
chegg.com
Given a unit step function u(t), it…
340×310
eeeguide.com
Shifted Unit Step Function - EEEGUIDE.COM
1024×768
SlideServe
PPT - UNIT STEP FUNCTION PowerPoint Presentation, free download - ID:6312958
1024×768
SlideServe
PPT - UNIT STEP FUNCTION PowerPoint Presentation, free download - ID:6312958
People interested in
Derivative of Unit Step Function
also searched for
Dirac Delta Function
Sign Function
Rectangular Function
Ramp Function
Distribution
Exponential Function
Hyperbolic Function
Generalized Function
Sinc Function
Sigmoid Function
Inverse Trigonometri
…
Oliver Heaviside
1024×768
SlideServe
PPT - UNIT STEP FUNCTION PowerPoint Presentation, free downl…
1024×768
SlideServe
PPT - UNIT STEP FUNCTION PowerPoint Presentation, free downl…
1024×768
SlideServe
PPT - UNIT STEP FUNCTION PowerPoint Presentation, free downl…
1024×768
SlideServe
PPT - UNIT STEP FUNCTION PowerPoint Presentation, free downl…
478×478
researchgate.net
Unit-step function. | Download Scientific Diagram
700×362
Chegg
Solved 1 Unit Step Function The unit step function is | Chegg.com
1024×551
chegg.com
Solved 1 Unit Step Function The unit step function is | Chegg.com
1200×900
github.io
The unit step function (a.k.a. the Heaviside step function)
1024×562
Chegg
Solved 1 Unit Step Function The unit step function is | Chegg.com
320×414
slideshare.net
Unit step function | PDF
560×420
math.stackexchange.com
real analysis - How to prove that the derivative of Heavisid…
697×726
researchgate.net
The Unit Step Function an expres…
337×266
matrixlab-examples.com
Step function - unit step with Matlab
180×234
coursehero.com
Understanding the Unit Step …
1286×1220
cuemath.com
Derivative Calculator - Online Derivativ…
2246×1000
chegg.com
On Wednesday, we began developing the Unit Step | Chegg.com
1150×724
fity.club
Step Function Notation What Is The Value Of The Unit Step Fu…
812×381
geeksforgeeks.org
Stair Step Function - GeeksforGeeks
Explore more searches like
Derivative of
Unit Step Function
Matlab Code
Laplace Transform
Laplace Transform Ta
…
Single Line
Fourier Transform Gr
…
Fourier Transform
Differential Equations
Discrete-Time
What Is Integral
Signal Processing
How Find
What Is Negative
700×175
chegg.com
Solved 2. Use the unit step functions to derive a function | Chegg.com
700×488
chegg.com
Solved find a unit step function by providing a steps and | Chegg.com
625×700
Chegg
Solved Note The unit-step function U(t - a) c…
Some results have been hidden because they may be inaccessible to you.
Show inaccessible results
Report an inappropriate content
Please select one of the options below.
Not Relevant
Offensive
Adult
Child Sexual Abuse
Feedback