The photos you provided may be used to improve Bing image processing services.
Privacy Policy
|
Terms of Use
Can't use this link. Check that your link starts with 'http://' or 'https://' to try again.
Unable to process this search. Please try a different image or keywords.
Try Visual Search
Search, identify objects and text, translate, or solve problems using an image
Drag one or more images here,
upload an image
or
open camera
Drop images here to start your search
To use Visual Search, enable the camera in this browser
All
Search
Images
Inspiration
Create
Collections
Videos
Maps
News
More
Shopping
Flights
Travel
Notebook
Top suggestions for How to Calculat ASCII-Code
ASCII
Computer
ASCII
N
ASCII
Meaning
Define
ASCII
ASCII
127
ASCII
Cheat Sheet
ASCII
Acronym
ASCII
ESC
ASCII
Rose
ASCII
Tablosu
ASCII
Definition
What Is ASCII
Used For
Standard ASCII
Table
Full Form of
ASCII
ASCII
Format
What Is
ASCII-art
Таблица
ASCII
ASCII
Table C
What Does School
Stand For
7-Bit ASCII
ASCII
Arrow
ASCII
Degree
ASCII
Def
ASCII
31
What Is
ASCII Number
ASCII
D
Char 9
ASCII
ASCII
Table Printable
ASCII
Omega
ASCII
File
ASCII
Art Heart
ASCII
Acronimo
ASCII
Chart
Funny ASCII
-art
ASCII
J
ASCII
Delta
ASCII
Language
Codigo
Ascii
ASCII
Byte Table
What Does ASCII
Stand for in Computing
ASCII
Greek Letters
ASCII-
art Drawing
ASCII
Art Cat
Tabela
ASCII
What Is
ASCII-Code
ASCII
Код
ASCII
Value a Z
Print
ASCII
ASCII
Abbreviation
ASCII-
art Examples
Explore more searches like How to Calculat ASCII-Code
Right
Arrow
Down
Arrow
Alphabet
Table
Table
Chart
Smiley-Face
Alphabet
Poster
Uppercase
Letters
Newline
Character
HTML Symbol for
Settings Icon
BarChart
Music
Symbols
Check
Character
Lowercase
Letters
Question
Mark
Letter
Chart
Chat
Bubble
Greek
Alphabet
3D Chat
Bubble
Horizontal
Colon
8-Bit
Peso
Sign
Microsoft
Word
For Arrow
Symbol
Art
For
0
Excel
For Omega
Symbol
Accents
Character
Binary
PDF
7-Bit
$256
De
For
9
Abcde
People interested in How to Calculat ASCII-Code also searched for
Table
AutoCAD
For Bullet
Symbol
Windows
XP
Symbols
Type
Binary
For
Acute
Square
Gambar
For
Alt
Autoplay all GIFs
Change autoplay and other image settings here
Autoplay all GIFs
Flip the switch to turn them on
Autoplay GIFs
Image size
All
Small
Medium
Large
Extra large
At least... *
Customized Width
x
Customized Height
px
Please enter a number for Width and Height
Color
All
Color only
Black & white
Type
All
Photograph
Clipart
Line drawing
Animated GIF
Transparent
Layout
All
Square
Wide
Tall
People
All
Just faces
Head & shoulders
Date
All
Past 24 hours
Past week
Past month
Past year
License
All
All Creative Commons
Public domain
Free to share and use
Free to share and use commercially
Free to modify, share, and use
Free to modify, share, and use commercially
Learn more
Clear filters
SafeSearch:
Moderate
Strict
Moderate (default)
Off
Filter
ASCII
Computer
ASCII
N
ASCII
Meaning
Define
ASCII
ASCII
127
ASCII
Cheat Sheet
ASCII
Acronym
ASCII
ESC
ASCII
Rose
ASCII
Tablosu
ASCII
Definition
What Is ASCII
Used For
Standard ASCII
Table
Full Form of
ASCII
ASCII
Format
What Is
ASCII-art
Таблица
ASCII
ASCII
Table C
What Does School
Stand For
7-Bit ASCII
ASCII
Arrow
ASCII
Degree
ASCII
Def
ASCII
31
What Is
ASCII Number
ASCII
D
Char 9
ASCII
ASCII
Table Printable
ASCII
Omega
ASCII
File
ASCII
Art Heart
ASCII
Acronimo
ASCII
Chart
Funny ASCII
-art
ASCII
J
ASCII
Delta
ASCII
Language
Codigo
Ascii
ASCII
Byte Table
What Does ASCII
Stand for in Computing
ASCII
Greek Letters
ASCII-
art Drawing
ASCII
Art Cat
Tabela
ASCII
What Is
ASCII-Code
ASCII
Код
ASCII
Value a Z
Print
ASCII
ASCII
Abbreviation
ASCII-
art Examples
2276×1240
askhacker.com
ASCII Code Cheat Sheet & Quick Reference
1620×2096
brunofuga.adv.br
ASCII Code Values And Hexadecima…
748×859
brunofuga.adv.br
ASCII Code Values And Hexadecimal Conversion Chart…
498×942
brunofuga.adv.br
ASCII Code Values And H…
Related Products
Ascii Code Poster
Ascii Code Chart
ASCII Code T-Shirt
764×1024
brunofuga.adv.br
ASCII Code Values And Hexadecima…
1178×906
blogspot.com
(K): Ascii Code
800×546
webziz.com
What is ASCII Code? - Explained
867×801
brunofuga.adv.br
ASCII Code Table Of ASCII Characters And Example, 4…
916×1024
chegg.com
Solved Exercises: Use the ASCII code chart …
1024×494
numerade.com
(Find the character of an ASCII code) Write a program that receives an ASCII code (an integer ...
591×1353
fity.club
Ascii Code Chart Computer Cod…
1200×1200
storage.googleapis.com
What Is Ascii Code Table at Melva Rainey blog
1471×1286
design.udlvirtual.edu.pe
Ascii Code Full Chart - Design Talk
768×1024
scribd.com
ELEC111 - (2) ASCII Code Co…
Explore more searches like
How to Calculat
ASCII-Code
Right Arrow
Down Arrow
Alphabet Table
Table Chart
Smiley-Face
Alphabet Poster
Uppercase Letters
Newline Character
HTML Symbol for Settings I
…
BarChart
Music Symbols
Check Character
768×994
studylib.net
ASCII Code Table: Decimal, Hex, an…
820×928
fity.club
Ascii Code Chart Computer Coding C…
1812×2596
fity.club
Ascii Code Chart Computer Codi…
1318×1903
design.udlvirtual.edu.pe
Chart Of Ascii Code - Design …
1024×768
playbookpro.ru
Ascii code
1024×768
playbookpro.ru
Ascii code
1120×1204
myxxgirl.com
Ascii Code The Extended Ascii Table Ascii Decimal C…
2652×2042
chegg.com
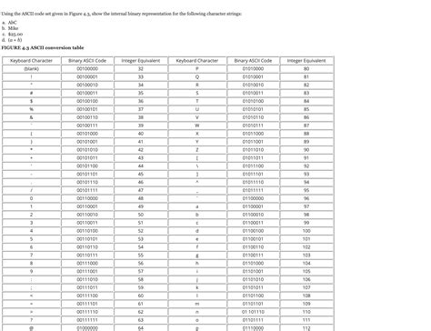
Solved Using the ASCII code set given in Figure 4.3 , show | Chegg.com
1200×927
studocu.com
ASCII Code Conversion Methods - ASCII CONVERSION COMPUTATION Each B…
1008×756
numerade.com
Question Completion Status: Moving to another question will save this response. …
768×1024
scribd.com
ASCII Conversion Chart | PDF
1280×720
www.youtube.com
ASCII values explained - YouTube
1280×720
www.youtube.com
How To Create An ASCII Calculator Within A Few Seconds! - YouTube
1280×720
www.youtube.com
Ascii value of 0 to 9 | Formula Ascii Code - YouTube
480×360
www.youtube.com
🔴 What is ASCII CODE ??? || Understanding ASCII values …
1280×720
YouTube
Calculate ascii value of digit number and spacial character by c programming lan…
1650×1275
www.csun.edu
Integer Conversion Encoding
1200×600
github.com
GitHub - youknowthefitis/ASCII-Calculator: Calculator using ASCII art
People interested in
How to Calculat
ASCII-Code
also searched for
Table AutoCAD
For Bullet Symbol
Windows XP
Symbols
Type
Binary
For Acute
Square
Gambar
For Alt
555×669
Computer Language
ASCII chart - CLC Definition
1200×1200
linuxhandbook.com
Understanding the ASCII Table
2708×2662
forum.arduino.cc
Arduino serial comms - Page 2 - Programming - Arduino …
Some results have been hidden because they may be inaccessible to you.
Show inaccessible results
Report an inappropriate content
Please select one of the options below.
Not Relevant
Offensive
Adult
Child Sexual Abuse
Feedback