The photos you provided may be used to improve Bing image processing services.
Privacy Policy
|
Terms of Use
Can't use this link. Check that your link starts with 'http://' or 'https://' to try again.
Unable to process this search. Please try a different image or keywords.
Try Visual Search
Search, identify objects and text, translate, or solve problems using an image
Drag one or more images here,
upload an image
or
open camera
Drop images here to start your search
To use Visual Search, enable the camera in this browser
All
Search
Images
Inspiration
Create
Collections
Videos
Maps
News
More
Shopping
Flights
Travel
Notebook
Autoplay all GIFs
Change autoplay and other image settings here
Autoplay all GIFs
Flip the switch to turn them on
Autoplay GIFs
Image size
All
Small
Medium
Large
Extra large
At least... *
Customized Width
x
Customized Height
px
Please enter a number for Width and Height
Color
All
Color only
Black & white
Type
All
Photograph
Clipart
Line drawing
Animated GIF
Transparent
Layout
All
Square
Wide
Tall
People
All
Just faces
Head & shoulders
Date
All
Past 24 hours
Past week
Past month
Past year
License
All
All Creative Commons
Public domain
Free to share and use
Free to share and use commercially
Free to modify, share, and use
Free to modify, share, and use commercially
Learn more
Clear filters
SafeSearch:
Moderate
Strict
Moderate (default)
Off
Filter
2448×3264
Stack Exchange
Integration involving squa…
3066×1218
Stack Exchange
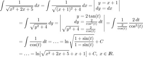
Integration: product containing square root. - Mathematics Stack Exchange
2818×710
Stack Exchange
Integration: product containing square root. - Mathematics Stack Exchange
554×240
intellectualmath.com
Definite Integral Involving Square Root
2015×1512
tes.com
Square Root | Math | Bundle | Teaching Resources
736×1309
in.pinterest.com
Square Root Trick Poster fo…
320×211
imathist.com
Integration of square root of x | Integral of 1 by root x - iMath
780×520
sciencing.com
How To Integrate Square Root Functions
640×480
kidvideo.org
THE SQUARE ROOT What is the Square Root? Math for Kid…
471×156
cuemath.com
Integration of Root x - Formula, Examples | Integral of Square Root
900×900
mathhelpforum.com
How to get rid of the constants inside the squa…
525×700
Chegg
Solved Evaluate the integral integrate …
2000×679
mathhelpforum.com
Integrals with square roots | Math Help Forum
777×648
chegg.com
Solved Integrate: integral x Squareroot x + 2 dx In…
320×199
imathist.com
Integration of Square Root (a^2-x^2) | Integral of Ro…
794×752
Chegg
Solved Integrate the function. Integral_0^…
771×583
chegg.com
Solved Integrate a Square Root of a Sum of Squares …
427×196
infinitylearn.com
Integration in Math - Definitions, Formulas and Types
1024×761
chegg.com
Solved Integrate integral x square root 4 - x dx by part…
3200×2400
wikiHow > JohnK Wright V
How to Add Square Roots: 9 Steps (with Pictures) - wikiHow
1280×720
ar.inspiredpencil.com
Square Root Examples
1800×900
ar.inspiredpencil.com
Square Root Examples
602×60
dhimanrajeshdhiman.com
HOW TO INTEGRATE, INTEGRAL WITH SQUARE ROOT IN NUMERATOR ~ Simplifying Reasoning, maths ncert ...
551×220
math.fel.cvut.cz
Math Tutor - Integral - Methods Survey - Integration Methods
700×551
chegg.com
Solved Integrating Square Roots Evaluate the integrals in | Cheg…
480×360
www.youtube.com
Square root - YouTube
1280×720
www.youtube.com
How to integrate square root? - YouTube
6:28
YouTube > TucsonMathDoc
HOW TO INTEGRATE A SQUARE ROOT | Definite Integral | Calculus
YouTube · TucsonMathDoc · 148.4K views · Apr 5, 2011
1280×720
www.youtube.com
Integrate square root 1-4x square - YouTube
3:29
www.youtube.com > ProfessorGonzalinajec
Integration by substitution: square root example
YouTube · ProfessorGonzalinajec · 22.6K views · Aug 4, 2020
8:21
YouTube > ExamSolutions
Integration by Substitution - Square root types : ExamSolutions
YouTube · ExamSolutions · 54.6K views · Feb 10, 2009
1280×720
www.youtube.com
MathematicsN6 Integration Completing the Square intro (in class) @mathszoneafricanmotives - YouTube
14:55
www.youtube.com > sumchief
Integral with Square Root and Partial Fractions
YouTube · sumchief · 636 views · Oct 23, 2023
1280×720
www.youtube.com
Integration Area Between Axes and Square Root Transformed Function IB SL AA Maths - YouTube
1280×720
www.youtube.com
How to integrate a square root polynomial? - YouTube
Some results have been hidden because they may be inaccessible to you.
Show inaccessible results
Report an inappropriate content
Please select one of the options below.
Not Relevant
Offensive
Adult
Child Sexual Abuse
Feedback