The photos you provided may be used to improve Bing image processing services.
Privacy Policy
|
Terms of Use
Can't use this link. Check that your link starts with 'http://' or 'https://' to try again.
Unable to process this search. Please try a different image or keywords.
Try Visual Search
Search, identify objects and text, translate, or solve problems using an image
Drag one or more images here,
upload an image
or
open camera
Drop images here to start your search
To use Visual Search, enable the camera in this browser
All
Search
Images
Inspiration
Create
Collections
Videos
Maps
News
More
Shopping
Flights
Travel
Notebook
Top suggestions for Recursive Plonk Tutorial
Plonk
Game
Plonk
Bozeman
Plonk
Beer
Plonk
Cafe
Plonk
Meme
Plonk
Golf
Plonk
Crazy Golf
Plink
Plonk
Plonk
Music
Plonk
Emote
Plonk
Borough Market
Plonk
On Maju
Plonk
Cartoon
Plonk
Beach Cafe
Plonk
Wine
Plonk
Anchor
Plonk
Spit Bridge
Plonk
London
Plonk
Blocks
Bottle of
Plonk
Plonk
Wine Bar
Plonk
Bike
Plink Plonk
Fair Game
Plonk
Piano
Plonk
Clip Art
Plonk
Wine Missoula
Plonk
Pen
Plonk
My Glorb
Rustic Bar
Cart
Canto
Plonk
Plonk
Et Replonk
Maureen
Plonk
PC Plonk
Beano
Plonk
Bozeman Menu
Plonk
Action Bubble
Drag and
Plonk
Plonk
Ball
Plonk
TV Show
Plonk
Wellinton
Plonk
Arcade
Plonk
Wine Club
Plonk
Hackney
Phonk
Foto
Pilinky
Plonk
Plonk
Food Down
Drift
Phonk
Plink Plonk
Coin Game
Chris Taylor
Plonk
Mon Plonk
Cologne
Plonk
Singapore
Explore more searches like Recursive Plonk Tutorial
Wine
Bar
Clip
Art
Wine
Club
Chris Taylor
Comedian
Small
House
Speech
Box
Wine Bar Happy
Hour
Mini
Golf
London
Bridge
Sound Clip
Art
Logo Free
Download
What
is
Crazy
Golf
Wine
Cellar
Crazy Golf
Camden
Burger
Plate
Apple
Newton
Bozeman
MT
Borough
Market
Camden
Market
Midnight
Horrors
Bistro
Wine
WW1
Bottles
N64
Game
Wheel
Plank
Et
Replonk
Beach
Cafe
Plinky
Wallpaper
4K
Niles
Family
Christmas
Meaning
Clip Art
Birb
People interested in Recursive Plonk Tutorial also searched for
Wine
Golf
London
Bistro
Logo
Paint
Bottle
Listek
Cat
Mont
Rubbish
Golf
Cocktail
Golf
Logo
Hackney
New Version
Autoplay all GIFs
Change autoplay and other image settings here
Autoplay all GIFs
Flip the switch to turn them on
Autoplay GIFs
Image size
All
Small
Medium
Large
Extra large
At least... *
Customized Width
x
Customized Height
px
Please enter a number for Width and Height
Color
All
Color only
Black & white
Type
All
Photograph
Clipart
Line drawing
Animated GIF
Transparent
Layout
All
Square
Wide
Tall
People
All
Just faces
Head & shoulders
Date
All
Past 24 hours
Past week
Past month
Past year
License
All
All Creative Commons
Public domain
Free to share and use
Free to share and use commercially
Free to modify, share, and use
Free to modify, share, and use commercially
Learn more
Clear filters
SafeSearch:
Moderate
Strict
Moderate (default)
Off
Filter
Plonk
Game
Plonk
Bozeman
Plonk
Beer
Plonk
Cafe
Plonk
Meme
Plonk
Golf
Plonk
Crazy Golf
Plink
Plonk
Plonk
Music
Plonk
Emote
Plonk
Borough Market
Plonk
On Maju
Plonk
Cartoon
Plonk
Beach Cafe
Plonk
Wine
Plonk
Anchor
Plonk
Spit Bridge
Plonk
London
Plonk
Blocks
Bottle of
Plonk
Plonk
Wine Bar
Plonk
Bike
Plink Plonk
Fair Game
Plonk
Piano
Plonk
Clip Art
Plonk
Wine Missoula
Plonk
Pen
Plonk
My Glorb
Rustic Bar
Cart
Canto
Plonk
Plonk
Et Replonk
Maureen
Plonk
PC Plonk
Beano
Plonk
Bozeman Menu
Plonk
Action Bubble
Drag and
Plonk
Plonk
Ball
Plonk
TV Show
Plonk
Wellinton
Plonk
Arcade
Plonk
Wine Club
Plonk
Hackney
Phonk
Foto
Pilinky
Plonk
Plonk
Food Down
Drift
Phonk
Plink Plonk
Coin Game
Chris Taylor
Plonk
Mon Plonk
Cologne
Plonk
Singapore
New Version
🎉
What's new
You're invited to try a new version of Image Search, switch to view.
770×941
plonk.zksecurity.xyz
How to 𝒫𝔩𝔬𝔫𝒦
1200×600
github.com
GitHub - barryWhiteHat/plonk_tutorial
956×720
flashmuseum.org
Plonk - Play Online on Flash Museum 🕹️
314×217
plonkstory.com
The Adventures of Plonk
Related Products
Golf Game
Beer Coasters
Board Game
1021×576
blog.zksecurity.xyz
𝒫𝔩𝔬𝔫𝒦: A Hands-On Deep Dive - ZK/SEC Quarterly
1754×1240
plonkgolf.co.uk
Youtube Archive - Plonk Golf
683×1024
plonkgolfstudios.co.uk
Plonk At Home Game - Plonk …
320×322
archive.org
Plonk : Free Download, Borro…
720×316
coingeek.com
How PLONK works: Part 2 - CoinGeek
476×236
coingeek.com
How PLONK works: Part 2 - CoinGeek
292×515
coingeek.com
How PLONK works: Part 2 …
684×112
coingeek.com
How PLONK works: Part 2 - CoinGeek
730×360
coingeek.com
How PLONK Works: Part 1 - CoinGeek
Explore more searches like
Recursive
Plonk
Tutorial
Wine Bar
Clip Art
Wine Club
Chris Taylor Comedian
Small House
Speech Box
Wine Bar Happy Hour
Mini Golf
London Bridge
Sound Clip Art
Logo Free Download
What is
840×271
coingeek.com
How PLONK Works: Part 1 - CoinGeek
840×339
coingeek.com
How PLONK Works: Part 1 - CoinGeek
840×170
coingeek.com
How PLONK Works: Part 1 - CoinGeek
840×147
coingeek.com
How PLONK Works: Part 1 - CoinGeek
840×147
coingeek.com
How PLONK Works: Part 1 - CoinGeek
840×271
coingeek.com
How PLONK Works: Part 1 - CoinGeek
688×388
coingeek.com
How PLONK Works: Part 1 - CoinGeek
840×58
coingeek.com
How PLONK Works: Part 1 - CoinGeek
292×515
coingeek.com
How PLONK Works: Part 1 …
600×54
coingeek.com
How PLONK Works: Part 1 - CoinGeek
840×147
coingeek.com
How PLONK Works: Part 1 - CoinGeek
751×1064
www.deviantart.com
PLONK (Commission) b…
People interested in
Recursive
Plonk
Tutorial
also searched for
Wine
Golf London
Bistro Logo
Paint
Bottle
Listek
Cat
Mont
Rubbish
Golf Cocktail
Golf Logo
Hackney
1200×600
github.com
GitHub - 0xPolygonZero/plonky: Recursive SNARKs based on Plonk …
414×894
kidori.com
Recursive! - Tutorials
281×614
iq.opengenus.org
Recursive Backtracking
497×159
stackapps.com
script - StackPlonk: plonk users you don't want to help anymore - Stack A…
768×444
blog.recursiveprocess.com
A Recursive Process » Math teacher seeking patterns. » Page 2
450×299
construct.net
Plonk - Free Addicting Game
320×414
slideshare.net
Goblin Plonk.pdf | Programming Languages | Computing
320×414
slideshare.net
Goblin Plonk.pdf | Programming Languag…
261×491
vitalik.eth.limo
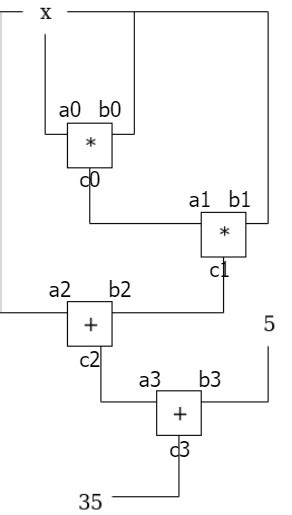
We can label the gates and wires …
646×1113
construct.net
Plonk - Game Licenses
Some results have been hidden because they may be inaccessible to you.
Show inaccessible results
Report an inappropriate content
Please select one of the options below.
Not Relevant
Offensive
Adult
Child Sexual Abuse
Feedback