The photos you provided may be used to improve Bing image processing services.
Privacy Policy
|
Terms of Use
Can't use this link. Check that your link starts with 'http://' or 'https://' to try again.
Unable to process this search. Please try a different image or keywords.
Try Visual Search
Search, identify objects and text, translate, or solve problems using an image
Drag one or more images here,
upload an image
or
open camera
Drop images here to start your search
To use Visual Search, enable the camera in this browser
All
Search
Images
Inspiration
Create
Collections
Videos
Maps
News
More
Shopping
Flights
Travel
Notebook
Autoplay all GIFs
Change autoplay and other image settings here
Autoplay all GIFs
Flip the switch to turn them on
Autoplay GIFs
Image size
All
Small
Medium
Large
Extra large
At least... *
Customized Width
x
Customized Height
px
Please enter a number for Width and Height
Color
All
Color only
Black & white
Type
All
Photograph
Clipart
Line drawing
Animated GIF
Transparent
Layout
All
Square
Wide
Tall
People
All
Just faces
Head & shoulders
Date
All
Past 24 hours
Past week
Past month
Past year
License
All
All Creative Commons
Public domain
Free to share and use
Free to share and use commercially
Free to modify, share, and use
Free to modify, share, and use commercially
Learn more
Clear filters
SafeSearch:
Moderate
Strict
Moderate (default)
Off
Filter
768×1024
scribd.com
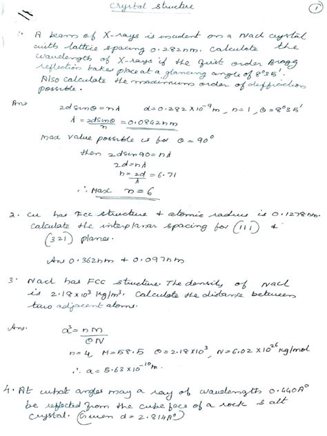
2-Crystal Structure Practice Problems Solutions | PDF | …
768×1024
scribd.com
Chapter 3 - Materials Science Crystal Structures | PDF | Cr…
768×1024
scribd.com
Latihan 1-Crystal Structure Problem | PDF
768×1024
scribd.com
Lesson 4 Crystal Structure Files | PDF | Crystallograph…
350×325
ece.poriyaan.in
Anna University Solved Problems - Crystallography …
741×882
chegg.com
Solved Exp. 02: Crystal Structure \& Crystal Geomet…
320×180
slideshare.net
Lecture 1 - THE CRYSTAL STRUCTURE OF SOLIDS …
768×1024
scribd.com
Chapter 1 - Crystal Structure - Part 1 PDF | PDF | Crystal S…
768×1024
scribd.com
Chapter 3 The Structure of Crystalline Solids Problem S…
600×879
nature.ca
Cracking the mystery of crystal structure - Canadian Museu…
960×1280
chegg.com
Solved Problems that cho she crystal structure in terms of …
224×196
ece.poriyaan.in
Anna University Solved Problems - Crystallography …
428×642
30nama.com
دانلود فیلم The Structure of Crystal 1969
768×1024
scribd.com
Structure Problem | PDF | Crystal Structure | Trigonom…
768×1024
scribd.com
Solving Problems Related to Crystal Structures, Atomic P…
720×540
slidetodoc.com
CHAPTER 4 Crystal Structure Fundamental Crystallograph…
300×390
studocu.com
Crystal Structure problems and solutions - CHAPTER 3 …
326×266
ece.poriyaan.in
Anna University Solved Problems - Crystallography …
1280×720
bruker.com
S4 E8: How to Solve a Crystal Structure | Bruker
1200×1553
studocu.com
Crystal Structure problems with solution - Crystalline Str…
1275×1650
studypool.com
SOLUTION: The crystal structure of solids solved pr…
768×1024
scribd.com
Problems Set 2 | PDF | Crystal Structure | Biophysics
768×1024
scribd.com
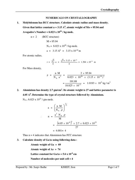
02 Crystallography Problems and Question Bank | PDF | …
2048×1152
slideshare.net
Crystal structure_ Engineering Physics | PPTX
488×471
mech.poriyaan.in
Anna University Solved Problems - Crystallography …
768×1024
scribd.com
Materials Science Lecture #3a - Crystal Structure | PDF | …
635×774
chegg.com
Solved Exp. 02: Crystal Structure \& Crystal Geomet…
595×842
Academia.edu
(PDF) Exercise problems 3: Crystal structure
768×1024
scribd.com
Problem - Crystal Structure | PDF
1799×1080
the-cinematograph.com
The Structure of Crystal - THE CINEMATOGRAPH
768×1024
scribd.com
Chapter 3 The Structure of Crystalline Solids Problem S…
400×340
ece.poriyaan.in
Anna University Solved Problems - Crystallography …
1331×887
chegg.com
Solved Problem 1 out of 2: A single crystal of a metal that …
2048×1152
slideshare.net
Lecture 1 - THE CRYSTAL STRUCTURE OF SOLIDS …
720×540
slidetodoc.com
Crystal structure and bonding in the new mineral
Some results have been hidden because they may be inaccessible to you.
Show inaccessible results
Report an inappropriate content
Please select one of the options below.
Not Relevant
Offensive
Adult
Child Sexual Abuse
Feedback