The photos you provided may be used to improve Bing image processing services.
Privacy Policy
|
Terms of Use
Can't use this link. Check that your link starts with 'http://' or 'https://' to try again.
Unable to process this search. Please try a different image or keywords.
Try Visual Search
Search, identify objects and text, translate, or solve problems using an image
Drag one or more images here,
upload an image
or
open camera
Drop images here to start your search
To use Visual Search, enable the camera in this browser
All
Search
Images
Inspiration
Create
Collections
Videos
Maps
News
More
Shopping
Flights
Travel
Notebook
Top suggestions for Modulus in Python Code Tamil
Mod
in Python
Division
in Python
Modulus
Operator Python
Or Operator
in Python
Modulus Function
in Python
Python Modulus
Example
Modulo Operation
Python
Subtraction
in Python
Type Function
Python
Modulus
Symbol Python
Boolean Expression
Python
Floor Division
in Python
Modulus
Java
Integer Division
Python
How to Use
Modulus in Python
Modulus
Dalam Python
Remainder
in Python
Modulus Sign
in Python
Modulus
of a Number
Modulus
Coding
Modulus
Operator C
Modulus
Programming
Python
Operator Symbols
Not Operator
Python
Python
Operator Precedence
Modulo
Formula
Python
Comparison Operators
Recursive Function
Python
Python
Arithmetic
Python
Relational Operators
Python
Bitwise Operators
Python
Operations
Python Modulus
Operator Icon
Concatenate
Python
3 Modulus
2. Python
Complex Numbers
in Python
Python
Assignment Operators
Using
Modulus in Python
Int Function
Python
Modular Division
Python
Python
Exponent
Modulus Meaning
in Python
Python
Math Symbols
String Formatting
Python
How to Calculate
Modulus in Python
Float Input
in Python
How to Divide
in Python
Scripting
in Python
How to Write Modulo
Python
How to Do
Modulus
Explore more searches like Modulus in Python Code Tamil
Operator
Icon
Correct
Use
Operator
Example
Odd Even
Numbers
What Is
Meaning
Symbol
Math
Remainder
Operation
Dalam
Battery
Di
Number
Float
Coding
Syntax
For
Formula
String
Use
Explained
People interested in Modulus in Python Code Tamil also searched for
Simple
Calculator
Visual
Studio
Simple
House
Cheat
Sheet
What Is
Function
Look
Like
Programming
Sample
Tic Tac
Toe
Data
Mining
Execution
Visual
Copy
Paste
Working
Process
What Is Your
Name
High
Level
Computer
Programming
Different
Languages
Wallpaper
4K
Very
Cool
Syntax
Password
Hard
What Does
Mean
Full
Source
Big
Easy
Dictionary
Hardest
Tutorial
Basic
Chatbot
Simple
Autoplay all GIFs
Change autoplay and other image settings here
Autoplay all GIFs
Flip the switch to turn them on
Autoplay GIFs
Image size
All
Small
Medium
Large
Extra large
At least... *
Customized Width
x
Customized Height
px
Please enter a number for Width and Height
Color
All
Color only
Black & white
Type
All
Photograph
Clipart
Line drawing
Animated GIF
Transparent
Layout
All
Square
Wide
Tall
People
All
Just faces
Head & shoulders
Date
All
Past 24 hours
Past week
Past month
Past year
License
All
All Creative Commons
Public domain
Free to share and use
Free to share and use commercially
Free to modify, share, and use
Free to modify, share, and use commercially
Learn more
Clear filters
SafeSearch:
Moderate
Strict
Moderate (default)
Off
Filter
Mod
in Python
Division
in Python
Modulus
Operator Python
Or Operator
in Python
Modulus Function
in Python
Python Modulus
Example
Modulo Operation
Python
Subtraction
in Python
Type Function
Python
Modulus
Symbol Python
Boolean Expression
Python
Floor Division
in Python
Modulus
Java
Integer Division
Python
How to Use
Modulus in Python
Modulus
Dalam Python
Remainder
in Python
Modulus Sign
in Python
Modulus
of a Number
Modulus
Coding
Modulus
Operator C
Modulus
Programming
Python
Operator Symbols
Not Operator
Python
Python
Operator Precedence
Modulo
Formula
Python
Comparison Operators
Recursive Function
Python
Python
Arithmetic
Python
Relational Operators
Python
Bitwise Operators
Python
Operations
Python Modulus
Operator Icon
Concatenate
Python
3 Modulus
2. Python
Complex Numbers
in Python
Python
Assignment Operators
Using
Modulus in Python
Int Function
Python
Modular Division
Python
Python
Exponent
Modulus Meaning
in Python
Python
Math Symbols
String Formatting
Python
How to Calculate
Modulus in Python
Float Input
in Python
How to Divide
in Python
Scripting
in Python
How to Write Modulo
Python
How to Do
Modulus
700×136
code-knowledge.com
Modulus in Python | Learn Java and Python for free
1600×650
learnpainless.com
How to understand modulus % in python | Learn Pain Less
1200×775
linuxscrew.com
Modulus (Mod), Modulo and Python - Explanation and Code Examples
450×450
linuxscrew.com
Modulus (Mod), Modulo and Python - Explanatio…
Related Products
Coding Books
Keyboard Stickers
Python Books
1440×297
scaler.com
Modulo Operator (%) in Python - Scaler Topics
400×148
upgrad.com
Modulus in Python | Definition, Syntax & Use Cases
400×148
upgrad.com
Modulus in Python | Definition, Syntax & Use Cases
735×1102
pt.pinterest.com
[Hindi] Modulus Operator and …
300×600
pythongeeks.org
Python Modulo - Using the % O…
1280×720
storage.googleapis.com
What Is Modulus Of Elasticity In Tamil at Nathan Mcnicholas blog
1358×905
medium.com
The modulus Operator in Python: Easy Explanation with Example…
Explore more searches like
Modulus in Python
Code Tamil
Operator Icon
Correct Use
Operator Example
Odd Even Numbers
What Is Meaning
Symbol
Math
Remainder
Operation
Dalam
Battery
Di
1024×1024
medium.com
The modulus Operator in Python: Easy Expl…
1358×1606
medium.com
The modulus Operator in Pyth…
320×180
doovi.com
Young's Modulus Explained in Tamil | Material Stiffness.…
688×157
blog.finxter.com
Python Modulo - Be on the Right Side of Change
1051×740
freecodecamp.org
Python Modulus 나머지 연산자 - % 기호는 Python에서 무엇을 의…
480×360
edurev.in
Modulus and More Video Lecture - Basics of Pytho…
716×156
itslinuxfoss.com
Modulo-Operator(%) in Python – Its Linux FOSS
755×321
blog.enterprisedna.co
Python Modulo Operator (%): A Detailed Guide – Master Data Skills + AI
689×327
blog.enterprisedna.co
Python Modulo Operator (%): A Detailed Guide – Master Data Skills + AI
2240×1260
vegastack.com
Python Modulo Operator
766×580
tessshebaylo.com
How To Write Mathematical Equations In Python - Tesssheba…
540×540
kaniyam.com
பைத்தான் நிரலாக்கம் – த…
362×169
brainkart.in
செயற்கூறுகளின் வகைகள் | Types of Python Fu…
471×352
brainkart.in
பைத்தான் நிரலாக்கம் | Programmi…
727×497
brainkart.in
பைத்தான் நிரலாக்கம் | Programming …
641×383
brainkart.in
பைத்தான் நிரலாக்கம் | Programming in Python | in Tamil
465×291
brainkart.in
பைத்தான் நிரலாக்கம் | Programming in Python | in Tamil
People interested in
Modulus
in Python Code
Tamil
also searched for
Simple Calculator
Visual Studio
Simple House
Cheat Sheet
What Is Function
Look Like
Programming Sample
Tic Tac Toe
Data Mining
Execution Visual
Copy Paste
Working Process
806×135
brainkart.in
பைத்தான் இனக்குழுக்கள் மற்றும் பொருள்கள் | Python Classes a…
470×504
brainkart.in
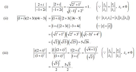
பயிற்சி 2.5: ஒரு கலப்பெண்ணின் மட…
523×355
brainkart.in
பயிற்சி 2.5: ஒரு கலப்பெண்ணின் மட்ட…
539×549
brainkart.in
பயிற்சி 2.5: ஒரு கலப்பெண்ணி…
463×247
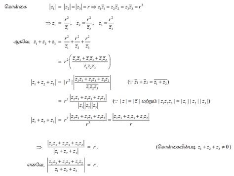
brainkart.in
கலப்பெண்ணின் மட்டுக்கான பண்புகள் (Properties of Modulus of a complex number): எடுத்துக்க…
756×402
brainkart.in
கலப்பெண்ணின் மட்டுக்கான பண்புகள் (Properties of Modulus of a comple…
866×652
brainkart.in
கலப்பெண்ணின் மட்டுக்கான பண்புக…
Some results have been hidden because they may be inaccessible to you.
Show inaccessible results
Report an inappropriate content
Please select one of the options below.
Not Relevant
Offensive
Adult
Child Sexual Abuse
Feedback