The photos you provided may be used to improve Bing image processing services.
Privacy Policy
|
Terms of Use
Can't use this link. Check that your link starts with 'http://' or 'https://' to try again.
Unable to process this search. Please try a different image or keywords.
Try Visual Search
Search, identify objects and text, translate, or solve problems using an image
Drag one or more images here,
upload an image
or
open camera
Drop images here to start your search
To use Visual Search, enable the camera in this browser
All
Search
Images
Inspiration
Create
Collections
Videos
Maps
News
More
Shopping
Flights
Travel
Notebook
Top suggestions for Stretched String Experiment Bridge
String
Vibration
Standing Wave On
String
Tension in a
Stretched String
Stretched
Piece of String
Stretched String
in Real Life
String
Thread Stretched
Piece of Brown
String Stretched Out
Vibrations in
Stretched String
Fundamental Wave for a
Stretched String
Standing Wave
Wavelength
Standing Waves On a
String Experiment
Velocity of a Wave On a
String
Third
Harmonic
Observing Waves On a
Stretched String
Equation for Tension of a
String
Transverse Wave in
Stretched String
Second Harmonic of a
Stretched String
Standing Waves in a
Stretched String Labeling
Progressive
Wave
Elastic
String
Piece of String
Lengthways Stretched Out
Stretch Bend
String
Stationary
Waves
Standing Waves
Examples
Stationary Waves in
Stretched String Diagram
Electric Guitar
Strings
String
Wave Harmonics
Wave Speed
Science
How to Change Guitar
Strings
Frequency of a
Stretched String Graph
Phys 2426 Pre-Lab Standing Waves On a
Stretched String
Instantaneous Power of Wave in
Stretched String
Standing Hamstring
Stretches
Stretched
Steel Strings
5th Harmonic
Formula
Table String
Stretchers
Taut
String
Stretch until Broken
String
A Rope
Stretched Out
What Is the Wave Equation for a
Stretched String
3rd Mode of Vibrating
String
Mechanical Waves
Examples
Seated Hamstring
Stretch
Standing Waves On a
String
Harmonics of a
String
Standing Wave
Harmonics
Guitar String
Vibration
String
Streached Guitar
Standing Waves On a
String Instrument
Fork On a
String
Explore more searches like Stretched String Experiment Bridge
Stationary
Waves
Transverse
Wave
Seamless
Texture
Wave
Diagram
Wave
Speed
Transverse
Vibration
First
Overtone
Vibrations
Energy
eLocity
Wave
Motion
1st
Harmonic
Resonance
Tension
Second
Harmonics
Plucking
Bow
Wave Moving
Along
Energy
Transmitted
Formula for
Harmonic
Stationary Patterns
Formed
People interested in Stretched String Experiment Bridge also searched for
Classical
Guitar
Double
Wishbone
Exeter
NH
Animated
Bow
Bottom Bar
Drawing
Black
5
Golden
Gate
Block
6
Aerial
View
Tow
Finger
Jerusalem
Archery
Forest
Titanium
7
Silk
Architecture
Pedestrian
Paper
4$
Double
Hole
Most
Complex
Instruments
Autoplay all GIFs
Change autoplay and other image settings here
Autoplay all GIFs
Flip the switch to turn them on
Autoplay GIFs
Image size
All
Small
Medium
Large
Extra large
At least... *
Customized Width
x
Customized Height
px
Please enter a number for Width and Height
Color
All
Color only
Black & white
Type
All
Photograph
Clipart
Line drawing
Animated GIF
Transparent
Layout
All
Square
Wide
Tall
People
All
Just faces
Head & shoulders
Date
All
Past 24 hours
Past week
Past month
Past year
License
All
All Creative Commons
Public domain
Free to share and use
Free to share and use commercially
Free to modify, share, and use
Free to modify, share, and use commercially
Learn more
Clear filters
SafeSearch:
Moderate
Strict
Moderate (default)
Off
Filter
String
Vibration
Standing Wave On
String
Tension in a
Stretched String
Stretched
Piece of String
Stretched String
in Real Life
String
Thread Stretched
Piece of Brown
String Stretched Out
Vibrations in
Stretched String
Fundamental Wave for a
Stretched String
Standing Wave
Wavelength
Standing Waves On a
String Experiment
Velocity of a Wave On a
String
Third
Harmonic
Observing Waves On a
Stretched String
Equation for Tension of a
String
Transverse Wave in
Stretched String
Second Harmonic of a
Stretched String
Standing Waves in a
Stretched String Labeling
Progressive
Wave
Elastic
String
Piece of String
Lengthways Stretched Out
Stretch Bend
String
Stationary
Waves
Standing Waves
Examples
Stationary Waves in
Stretched String Diagram
Electric Guitar
Strings
String
Wave Harmonics
Wave Speed
Science
How to Change Guitar
Strings
Frequency of a
Stretched String Graph
Phys 2426 Pre-Lab Standing Waves On a
Stretched String
Instantaneous Power of Wave in
Stretched String
Standing Hamstring
Stretches
Stretched
Steel Strings
5th Harmonic
Formula
Table String
Stretchers
Taut
String
Stretch until Broken
String
A Rope
Stretched Out
What Is the Wave Equation for a
Stretched String
3rd Mode of Vibrating
String
Mechanical Waves
Examples
Seated Hamstring
Stretch
Standing Waves On a
String
Harmonics of a
String
Standing Wave
Harmonics
Guitar String
Vibration
String
Streached Guitar
Standing Waves On a
String Instrument
Fork On a
String
647×280
researchgate.net
Experiment for the bridge experiment. | Download Scientific Diagram
600×426
sunlabtech.com
Simple Suspension Bridge Experiment – Sun LabTek
791×1024
studylib.net
Bridge-thickness experiment
768×1024
scribd.com
BRIDGE CONSTRUCTI…
Related Products
Elastic Cord for Jewelry Making
Elastic String
Round Elastic Cord
1700×763
paramhimalaya.com
Experiment : To determine the velocity of a pulse propagated through a stretched string / slinky.
2185×2809
chegg.com
Solved Vibrating String Experimen…
635×635
ResearchGate
(PDF) A vibrating string experiment
850×1203
ResearchGate
(PDF) A vibrating string experiment
1024×1479
slideserve.com
PPT - Lecture 4 - Stretched strin…
1024×1479
slideserve.com
PPT - Lecture 4 - Stretched strin…
727×950
chegg.com
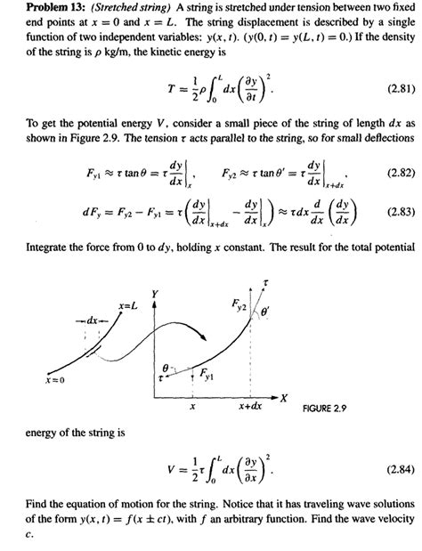
(Stretched string) A string is stret…
490×469
Physics Forums
Resonance of a Stretched String • Phy…
1024×588
www.bartleby.com
Stretched string | bartleby
931×1024
www.bartleby.com
Stretched string | bartleby
850×354
researchgate.net
(a) Small scale bridge experiment; (b) a bridge span with a stiffened... | Download Scientific ...
Explore more searches like
Stretched String
Experiment Bridge
Stationary Waves
Transverse Wave
Seamless Texture
Wave Diagram
Wave Speed
Transverse Vibration
First Overtone
Vibrations
Energy
eLocity Wave
Motion
1st Harmonic
320×320
researchgate.net
A schematic illustration of the ''…
850×237
researchgate.net
The hybrid cable-stayed string bridge scheme. | Download Scientific Diagram
317×317
researchgate.net
The hybrid cable-stayed string brid…
271×350
www.teacherspayteachers.com
STEM Lab Science Exper…
1081×455
animalia-life.club
Standing Waves On A String Experiment
1280×1656
animalia-life.club
Standing Waves On A String Ex…
1024×989
askfilo.com
A stretched string is vibrating in its 5th har…
850×143
researchgate.net
The hybrid cable-stayed string bridge strains and displacements. | Download Scientific Diagram
375×500
quizlet.com
Sound : Variation of fre…
624×346
blogspot.com
practical physics: experiment 18: INVESTIGATION OF VARIATION OF FR…
654×259
blogspot.com
practical physics: experiment 18: INVESTIGATION OF VARIATION OF FREQUENCY OF A STRETCHED S…
1200×1553
studocu.com
Resonance Modes of a Stretched Stri…
850×419
researchgate.net
Displacements of a hybrid cable-stayed string bridge: a) under... | Download Scientific Diagram
320×320
researchgate.net
Axial forces of a hybrid cable-stayed string bridg…
500×666
innatepress.com
Building a Suspension Br…
850×410
researchgate.net
Experiment setup: (a) Third trial of Test Subject 2 crossing the... | Download Scientific Diagram
1808×464
alep.science
E1-1: The Frequency of Vibration of a Stretched String: Variation with Length and Tension — A…
500×281
tes.com
Experiment: Stretching a rubber band | Teaching Resources
People interested in
Stretched
String
Experiment
Bridge
also searched for
Classical Guitar
Double Wishbone
Exeter NH
Animated Bow
Bottom Bar Drawing
Black 5
Golden Gate
Block 6
Aerial View
Tow
Finger
Jerusalem
650×388
www.sciencebuddies.org
Bridge Building Bonanza: Which Design Wins? | STEM Activity
500×819
www.sciencebuddies.org
Student Science: Straw Suspen…
Some results have been hidden because they may be inaccessible to you.
Show inaccessible results
Report an inappropriate content
Please select one of the options below.
Not Relevant
Offensive
Adult
Child Sexual Abuse
Feedback